
《SLEEP中文版》第6卷第1期
K复合波是睡眠过程中与噪声相关的感觉处理的敏感标志:一项初步研究
K-complexes Are A Sensitive Marker Of Noise-related Sensory Processing During Sleep: A Pilot Study
原文作者
Bastien Lechat, Kristy Hansen, Gorica Micic, Felix Decup, Claire Dunbar, Tessa Liebich, Peter Catcheside, and Branko Zajamsek
翻译专家
程金湘
审校专家
师 乐
摘要
研究目的:本研究的主要目的是研究风电场和道路交通噪声的声压水平(Sound Pressure Levels,SPLs)和K复合波发生概率之间的剂量—反应关系。次要目的是比较人工评分的脑电图觉醒和觉醒时K复合波的剂量反应。
方法:25名受试者在实验室接受了多导睡眠记录和睡眠期间的噪音暴露。在确定的N2或更深的睡眠期间,持续随机播放了在33 ~ 48 dBA之间的6个SPLs持续20秒的风电场和道路交通噪声录音。噪音周期与23 dBA的背景噪音周期分开。使用一种经过验证的算法对K复合波进行评分。比较了控制噪声声压级、主观噪声敏感度和测量听力灵敏度的噪声类型的K复合波发生概率。
研究结果:在N2睡眠中,噪音诱导的K复合波,SPLs最低可至33 dBA[比值比,33 dBA vs. 23 dBA,平均值(95%置信区间);1.75(1.16 ~ 2.66)],并随着SPL的增加而增加。在N2睡眠中脑电图觉醒和清醒仅与高于39 dBA的噪声相关。K复合波对噪声产生反应的可能性是脑电图觉醒或清醒的2倍。主观噪声敏感度和听敏度与K复合波的发生有关,但与唤醒或觉醒无关。噪声类型对K复合波,脑电图觉醒或清醒反应没有明显影响。
结论:这些研究表明K复合波是一项对睡眠中环境噪声感觉处理的敏感标志,而听力灵敏度的提高和自我报告的噪声敏感性的降低增加了K复合波的概率。
关键词:环境噪声;K复合波;噪声敏感性;睡眠碎片化;睡眠中断;觉醒;清醒;深度学习;人工智能
图表

Figure 1. A, experimental protocol showing an example of block-randomised noise stimuli. B, experimental set-up. C, noise characteristics and measurement locations. Noise power spectral density were measured in the laboratory at the participants' head location, over a 20 seconds period.
Table 1. Participant characteristics stratifed by noise sensitivity group. Data are presented in n (%) for categorical variable, median [IQR] for non-normally distributed variables, and mean (SD) for normally distributed continuous variable


Figure 2. Association between noise SPL and K-complex response in N2 sleep. A, probability of occurrence of a K-complex at a given noise level. B, odds ratio (95% CI) of evoking a K-complex at a given SPL compared to background noise.

Figure 3. Association between noise SPL and the K-complex response in N2 sleep for participants with hearing thresholds ≤3.9 dB HL (orange) or >3.9 dB HL (purple). A, probability of occurrence of a K-complex at a given noise level. B and C, odds ratio (95% CI) of evoking a K-complex at a given SPL compared to background noise.

Figure 4. Association between noise SPL and the K-complex response in N2 sleep for participants with aWeinstein noise sensitivity score ≤54 (orange) or >54 (purple). A, probability of occurrence of a K-complex at a given noise level. B and C, odds ratio (95% CI) of evoking a K-complex at a given SPL compared to background noise.

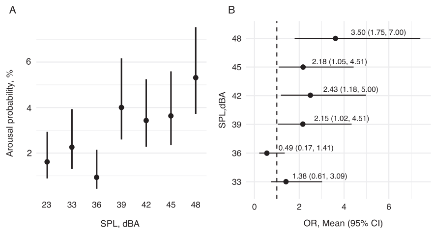
Figure 5. Association between noise SPL and arousal/awakening response in N2 sleep. A, probability of occurrence of arousal/awakening at a given noise level. B, odds ratio (95% CI) of evoking arousal/awakening at a given SPL compared to background noise.
来源:SLEEP中文版第6卷第1期摘要3
本期目录

《SLEEP中文版》编委会云集国内睡眠领域众多优秀专家、学者。各位编委以极高的热情和严谨的专业精神投入到论文的翻译审校中,经过数月辛勤筹备与精心打磨,《SLEEP中文版》第七期电子版将陆续发布!
编委名单


杂志简介
SLEEP 杂志创刊于 1978 年,是美国睡眠研究学会的官方期刊,由牛津大学出版社出版,在国际睡眠研究领域期刊中排名第一,五年学术影响因子高达 6.0分,是一本高质量、高水平的睡眠医学专业杂志。
《SLEEP中文版》计划全年出版两期,遴选并翻译原刊精华内容,旨在面向临床、面向基层、面向大众,为读者提供第一手的资料,加速新技术、新方法、新理念的普及,并促进中国学者在高水平杂志发表研究成果,为中国睡眠医学事业的发展再添动力。中文版编委会由主编、执行主编、副主编、编委及学术秘书构成,共计96人。
原标题:【第7期 摘要】K复合波是睡眠过程中与噪声相关的感觉处理的敏感标志:一项初步研究
本文来源:SLEEP前沿(ID:gh_b460d40d8213),转载引用请注明原出处